A Tiny Space Between an Ablution and Electrocution | Pod 115

Both Julian and Trace did ‘a journalism’ this week! First, Julian learns that electricity is NOT magic (but will kill you) by calling a relative who makes lightning in a lab. Then, TracecalledaprofessorfromUCLAtoseehowmuchspacethatwouldsave.

Turnsoutnotthatmuch. AlsoitmakesEVERYTHINGsomuchhardertoread.

LEARN MORE ABOUT THE DWARF 3 SMART TELESCOPE

https://link.thatsabsurdshow.com/dwarf

Trace really loves it. Julian is jealous. Kyle is … well, he’s Kyle.

QUESTIONS

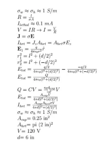
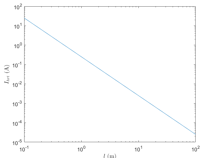
Julian: "How much water does it take NOT to get electrocuted?" from Steven

Trace: "How much paper would we save if we got rid of spaces and returns?" from Gerald

CREDITS

This episode of That's Absurd Please Elaborate was written by Trace Dominguez and Julian Huguet, edited by Kyle Sisk, and produced by all three of us. Special thanks to friends and family for listening to the edits and help us make this better.

Thanks for listening to That's Absurd Please Elaborate. We appreciate you!

LISTEN TO THIS EPISODE

Trace Dominguez

Science communicator, television presenter, video producer, and podcaster. I use digital media to teach viewers about science, engineering, history, technology, psychology, and our universe. 

https://tracedominguez.com
Previous
Previous

TAPE Classic | D&D Pee and Chickpea TNT

Next
Next

Trippin' Unicorn Learny Journey ✨️ | Pod 114